186 6511 0000

《洁净厂房设计规范》国家标准GB50073-2013洁净标准要点摘选

发布时间:Wed Aug 11 16:01:32 CST 2021
已有 25580 家企业看过

u=914030975,2670365590&fm=224&fmt=auto&gp=0

一、术语

1洁净室 洁净厂房

空气悬浮粒子浓度受控的房间。

2 洁净区

空气悬浮粒子浓度受控的限定空间。可分为开放式和封闭式。

3 移动式洁净小室

可整体移动位置的小型洁净室。有刚性和柔性材料围挡两类。

4 粒径

给定的粒径测定仪所显示的、与被测粒子的响应量相当的球形体直径。

5 悬浮粒子

用于空气洁净度分级的,尺寸范围在0.1μm~5μm,悬浮于空气中的固体和液体粒子。

6 超微粒子

当量直径小于0.1μm的粒子。

7 微粒子

当量直径大于5μm的粒子。

8 粒径分布

粒径的频率分布和累积分布,是粒径的函数。

9 含尘浓度

单位体积空气中悬浮粒子的颗数。

10 洁净度

以单位体积空气中大于或等于某粒径粒子的数量来区分的洁净程度。

11 气流流型

对室内空气的流动形态和分布进行合理设计。

12 单向流

通过洁净室(区)整个断面的风速稳定、大致平行的受控气流。可分为垂直单向流和水平单向流。

2

13 非单向流

送人洁净室(区)的送风以诱导方式与室(区)内空气混合的气流分布类型。

3

14 混合流

单向流和非单向流组合的气流。

4

15 洁净工作区

指洁净室内离地面高度0.8m~1.5m的区域,工艺特殊要求除外。

16 空气吹淋室

利用高速洁净气流吹落并清除进人洁净室人员表面附着粒子的小室。

17 气闸室

设置在洁净室出人口,阻隔室外或邻室污染气流和控制压差而设置的缓冲间。

18 传递窗

在洁净室隔墙上设置的传递物料和工器具的窗口。两侧装有不能同时开启的窗扇。

5

19 空态

设施已经建成,其服务动力公用设施区接通并运行,但无生产设备、材料及人员的状态。

20 静态

设施已经建成,生产设备已经安装好,并按供需双方商定的状态运行,但无生产人员的状态。

21 动态

设施以规定的方式运行,有规定的人员在场,并在商定的状态下进行工作。

22 高效空气过滤器 (HEPA)

额定风量下,对粒径大于或等于0.3μm粒子的捕集效率在99.9%以上的空气过滤器。

23 超高效空气过滤器 (ΜLPA)

额定风量下,对粒径0.1μm~0· 2μm粒子的捕集效率在99.999%以上的空气过滤器。

24 自净时间

洁净室被污染后,净化空调系统开始运行至恢复到稳定的规定室内洁净度等级所需的时间。

25 生物洁净室

洁净室空气中悬浮微生物控制在规定值内的限定空间。

26 浮游菌

悬浮在空气中的带菌微粒。

27 沉降菌

降落在培养皿上的带菌微粒。

28 U描述符

每立方米空气中包括超微粒子(小于0.1μm)的实测或规定浓度。

29 M描述符

每立方米空气中实测的或规定的微粒子(大于5μm)。

30 工业管道

洁净厂房内,除给水排水管道和净化空调、采暖通风管道外的气体、液体管道,统称为工业管道。

二、空气洁净度等级

1 空气洁净度整数等级及浓度限值

6

注:按不同的测量方法,各等级水平的浓度数据的有效数字不应超过3位。

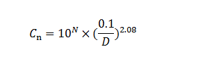
2 最大浓度限值计算

7

Cn——大于等于要求粒径的最大浓度限值(pc/m3),取整,有效位数不超过三位。

N——空气洁净度等级,可取至小数点后一位。

D——要求的粒径(μm)

0.1——常数,量纲为0.1μm

3 当工艺要求粒径不止一个时,相邻两粒径中的大者与小者之比不得小于1.5倍。

4 空气洁净度等级的粒径范围应为0.1μm~0.5μm,超出粒径范围时可采用U描述符或M描述符补充说明。

注:此处粒径范围,根据上述洁净度整数等级及浓度限值,以及U描述和M描述的定义,感觉应为0.1μm~5μm。

5 空气洁净度等级所处状态包括空态、静态、动态,空气洁净度等级所处状态应与业主协商确定。

6 当洁净室(区)内的产品生产工艺要求控制微生物、化学污染物时,应根据工艺特点对各空气洁净度等级规定相应的微生物、化学污染物浓度限值。

三、总体设计

1 洁净厂房新风口与交通干道边沿的最近距离宜大于50m。

2 人员净化用室和生活用窒的设计,单人空气吹淋室按最大班人数每30人设一台。

3人流路线应避免往复交叉。

8

4 洁净厂房内人员净化用室和生活用室的建筑面积,宜按洁净区设计人数平均每人2m2~4m2计算。

5 根据室内容许噪声级要求,净化空调系统风管内风速宜符合下列规定:

1) 总风管风速宜为6m/s~10m/s。

2)无送、回风口的支风管风速宜为4m/s~6m/s。

3)有送、回风口的支风管风速宜为2m/s~5m/s。

四、空气净化

1 洁净室的温、湿度要求

10

2 供给洁净室内每人每小时的新鲜空气量不小40m3/h。

3 不同等级的洁净室之间的压差不宜小于5Pa,洁净区与非洁净区之间的压差不应小于5Pa,洁净区与室外的压差不应小于10Pa。

4 送风、回风和排风系统的启闭宜联锁。正压洁净室联锁程序应先启动送风机,再启动回风机和排风机;关闭时联锁程序应相反。

负压洁净室联锁程序应与上述正压洁净室相反。

5 非连续运行的洁净室,可根据生产工艺要求设置值班送风,并应进行净化空调处理。

6 气流流型及送风量,如下表所示

13

7 空气过滤器的处理风量应小于或等于额定风量,其布置要求如下表所示。

中效、高中效

宜集中,空调箱正压段

亚高效、高效

宜系统末端

超高效

应系统末端

8 空气洁净度等级严于8级的洁净室不得采用散热器采暖。

洁净厂房中的疏散走廊应设置机械排烟设施。

10 净化空调系统的新风管段应设置电动密闭阀、调节阀,送、回风管段应设置调节阀,洁净室内的排风系统应设置调节阀、止回阀或电动密闭阀。

11 在空气过滤器的前、后应设置测压孔或压差计。在新风管、送风、回风总管段上,宜设置风量测定孔。



Baidu
map
Baidu
map